Упр.29.5 ГДЗ Мордкович Семенов 11 класс (Алгебра)
Решение #1 (Учебник 2025)
Решение #2 (Учебник 2022)

Рассмотрим вариант решения задания из учебника Мордкович, Семенов, Александрова 11 класс, Просвещение:
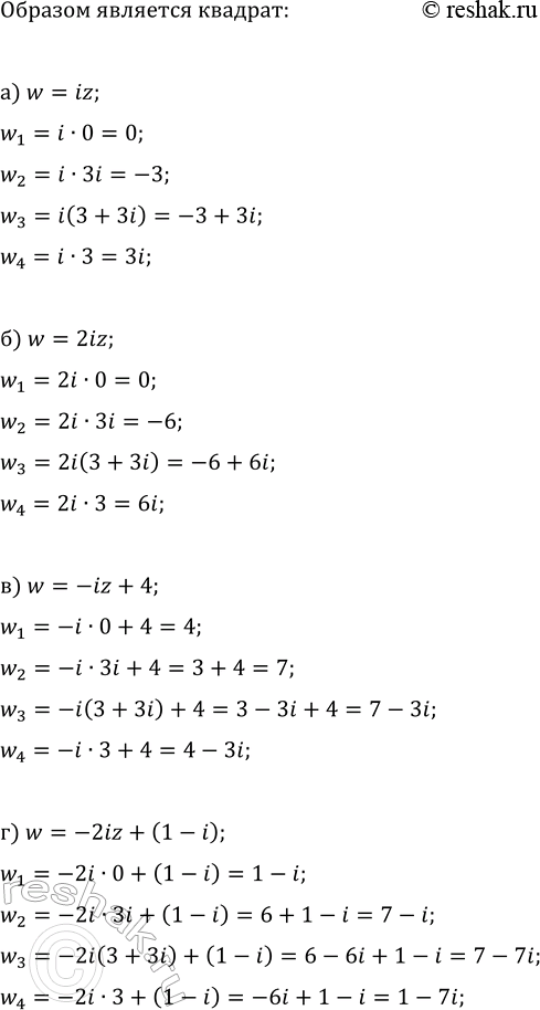
Найдите образ квадрата с вершинами в точках z_1 = 0, z_2 = 3i, z_3 = 3 + 3i, z_4 = 3 для линейной функции:
а) w = iz; в) w = -iz + 4;
б) w = 2iz; г) w = -2iz + (1 - i).
Решите систему уравнений:
а) {3^(3x+y)-5^(x-2y)=2, 3^(3x+y)+5^(x-2y)=52};
б) {5^(2x-y)=(1/5)^(-1)·625^(3/4)/25, x+3y=3};
в) {2^(x+y)-3^(x-y)=7, 2^(x+y)+3^(x-y)=25};
г) {2^(x-y)=0,25^(-1)·8^(2/3)/2, x+y=1}.
Похожие решебники
Популярные решебники 11 класс Все решебники
*К сожалению, временные проблемы с публикацией комментариев с мобильных устройств.