Упр.29.3 ГДЗ Мордкович Семенов 11 класс (Алгебра)
Решение #1 (Учебник 2025)
Решение #2 (Учебник 2022)

Рассмотрим вариант решения задания из учебника Мордкович, Семенов, Александрова 11 класс, Просвещение:
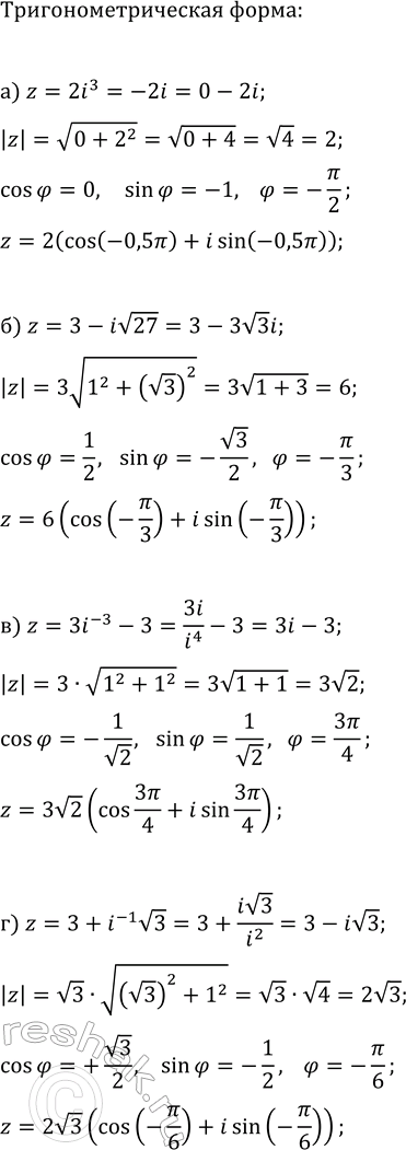
Запишите в тригонометрической форме число:
а) 2i^3; в) 3i^(-3) - 3;
б) 3 - iv27; г) 3 + i^(-1) v3.
Решите систему уравнений методом введения новой переменной:
а) {2x+3y=12, (log_6(xy))^2+1=2log_6(xy)};
б) {vx·vy=10-3(xy)^(1/4), 2x-5y=6};
в) {6x-2y=-5, (log_0,5(y/x))^2+9=6log_0,5(x/y)};
г) {8x^(2/3)y^(2/3)=15(xy)^(1/3)+2, 3x-4y=4}.
Похожие решебники
Популярные решебники 11 класс Все решебники
*К сожалению, временные проблемы с публикацией комментариев с мобильных устройств.