Упр.29.13 ГДЗ Мордкович Семенов 11 класс (Алгебра)
Решение #1

Рассмотрим вариант решения задания из учебника Мордкович, Семенов, Александрова 11 класс, Просвещение:
29.13. Решите систему уравнений:
а) {2(x+y)^(1/5)=log_5(25y^2), 3log_5(y^2)-(x+y)^(1/5)=4};
б) {5^(x-y)-3|2y+x|=-1, 2|2y+x|-5^(x-y-1)=3};
в) {3(x+y)^(1/3)=log_2(16x^2), log_2(x^2)+2(x+y)^(1/3)=6};
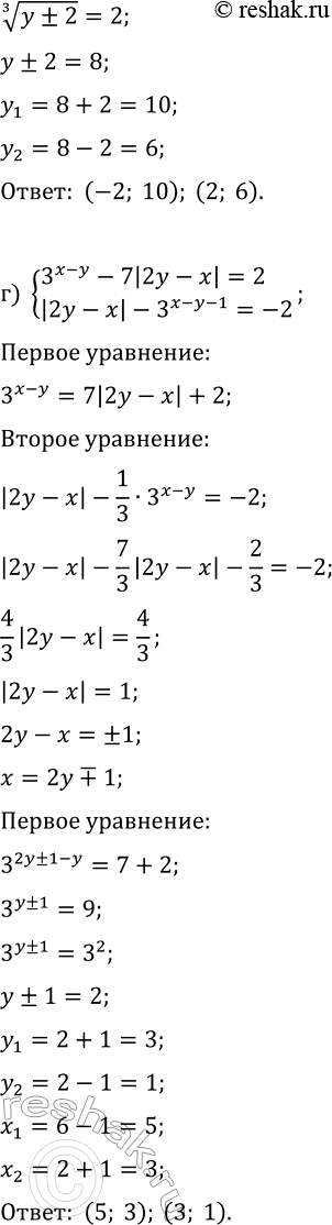
г) {3^(x-y)-7|2y-x|=2, |2y-x|-3^(x-y-1)=-2}.
Похожие решебники
Популярные решебники 11 класс Все решебники
*размещая тексты в комментариях ниже, вы автоматически соглашаетесь с пользовательским соглашением