Упр.29.6 ГДЗ Мордкович Семенов 11 класс (Алгебра)
Решение #1 (Учебник 2025)
Решение #2 (Учебник 2022)

Рассмотрим вариант решения задания из учебника Мордкович, Семенов, Александрова 11 класс, Просвещение:
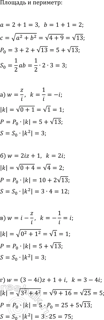
Найдите периметр и площадь треугольника, в который линейная функция w = kz + m переводит треугольник с вершинами в точках z_1 = -1 - i, z_2 = -1 + 2i, z_3 = 1 + 2i, если:
а) w = z / i; в) w = i - z / i;
б) w = 2iz + 1; г) w = (3 - 4i)z + 1 + i.
Решите систему уравнений:
а) {log_3(x^2+6x-4)-log_3(y)=1, 3x-y=2};
б) {log_(1/3)(5x-y)=log_(1/3)(3x+4), log_9(x^2+x-2y)=log_9(x^2+y)};
в) {log_4(x^2+2x+4)-log_4(y)=1, 2x+y=7};
г) {log_6(7x-y)=log_6(4x+3), log_(1/7)(x^2+2x-y)=log_(1/7)(x^2+3y)}.
Похожие решебники
Популярные решебники 11 класс Все решебники
*К сожалению, временные проблемы с публикацией комментариев с мобильных устройств.