Упр.29.1 ГДЗ Мордкович Семенов 11 класс (Алгебра)
Решение #1 (Учебник 2025)
Решение #2 (Учебник 2022)

Рассмотрим вариант решения задания из учебника Мордкович, Семенов, Александрова 11 класс, Просвещение:
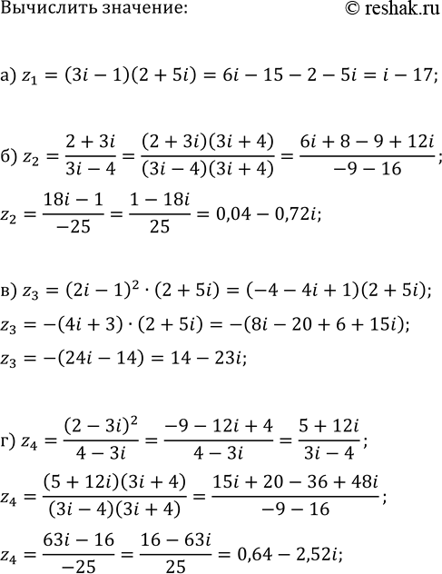
Вычислите:
а) z_1 = (3i - 1)(2 + 5i); в) z_3 = (2i - 1)^2 (2 + 5i);
б) z_2 = (2 + 3i) / (3i - 4); г) z_4 = ((2 - 3i)^2 / (4 - 3i)).
Решите систему уравнений методом алгебраического сложения:
а) {6x^(1/4)-4y^(1/3)=6, 3y^(1/3)-4x^(1/4)=-3};
б) {log_5(x)+lg(y)=5, 3log_5(x)-5lg(y)=17};
в) {5vx+2vy=9, 3vx-4vy=-5};
г) {log_(1/3)(x)-3log_(1/3)(y)=1, 2log_(1/3)(x)+5log_(1/3)(y)=-9}.
Похожие решебники
Популярные решебники 11 класс Все решебники
*К сожалению, временные проблемы с публикацией комментариев с мобильных устройств.