Упр.28.20 ГДЗ Мордкович Семенов 11 класс (Алгебра)
Решение #1 (Учебник 2025)
Решение #2 (Учебник 2022)

Рассмотрим вариант решения задания из учебника Мордкович, Семенов, Александрова 11 класс, Просвещение:
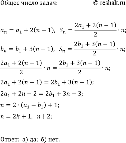
В понедельник и Маша, и Лена решили по нескольку задач из общего списка задач к экзамену. В каждый следующий день Маша решала на две, а Лена на три задачи больше, чем в предыдущий день. В итоге обе девочки в один и тот же день решили все задачи из списка. Могло ли число подготовленных задач быть равным: а) 7; б) 12?
Решите уравнение методом введения новой переменной:
а) 2vx-3x^(1/4)-2=0; в) 3vx-5x^(1/4)+2=0;
б) x^(1/3)-x^(1/6)-2=0; г) x^(1/3)-2x^(1/6)-3=0.
Похожие решебники
Популярные решебники 11 класс Все решебники
*К сожалению, временные проблемы с публикацией комментариев с мобильных устройств.