Упр.251 ГДЗ Мерзляк Полонский 8 класс (Алгебра)
Решение #1 (Учебник 2025)
Решение #2 (Учебник 2019)
Решение #3 (Учебник 2019)

Рассмотрим вариант решения задания из учебника Мерзляк, Полонская, Якир 8 класс, Просвещение:
Найдите значение выражения:
1) 2 · 10^(-2) + 7 · 10^(-3) + 8 · 10^(-5);
2) (2,5)^(-2) - (8^5)^0 + (1 2/3)^(-3) + 0,1^(-1).
Найдите значение выражения:
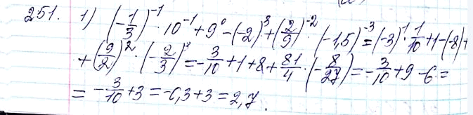
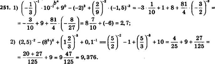
1) (-1/3)^-1 * 10^-1 + 9^0 - (-2)3 + (2/9)^-2 * (-1,5)^-3;
2) (2,5)^-2 - (8^5)0 + (1 2/3)^-3 + 0,1^-1.
Похожие решебники
Популярные решебники 8 класс Все решебники
*К сожалению, временные проблемы с публикацией комментариев с мобильных устройств.