🔥ГДЗ под запретом?

Упр.2.367 ГДЗ Виленкин Жохов 6 класс Часть 1, Просвещение (Математика)

Решение #1 (Учебник 2023)

Изображение Найдите корень уравнения:1) 178,87 - (b - 13,4) = 174,77;   2) 243,82 - (17,1 - с) = 231,32.1) Уравнение  178,87-(b-13,4)=174,77  сначала решаем относительно...

Решение #2 (Учебник 2023)

Изображение Найдите корень уравнения:1) 178,87 - (b - 13,4) = 174,77;   2) 243,82 - (17,1 - с) = 231,32.1) Уравнение  178,87-(b-13,4)=174,77  сначала решаем относительно...
Дополнительное изображение

Решение #3 (Учебник 2023)

Изображение Найдите корень уравнения:1) 178,87 - (b - 13,4) = 174,77;   2) 243,82 - (17,1 - с) = 231,32.1) Уравнение  178,87-(b-13,4)=174,77  сначала решаем относительно...

Решение #4 (Учебник 2021)

Изображение Найдите корень уравнения:1) 178,87 - (b - 13,4) = 174,77;   2) 243,82 - (17,1 - с) = 231,32.1) Уравнение  178,87-(b-13,4)=174,77  сначала решаем относительно...

Решение #5 (Учебник 2021)

Изображение Найдите корень уравнения:1) 178,87 - (b - 13,4) = 174,77;   2) 243,82 - (17,1 - с) = 231,32.1) Уравнение  178,87-(b-13,4)=174,77  сначала решаем относительно...

Решение #6 (Учебник 2021)

Изображение Найдите корень уравнения:1) 178,87 - (b - 13,4) = 174,77;   2) 243,82 - (17,1 - с) = 231,32.1) Уравнение  178,87-(b-13,4)=174,77  сначала решаем относительно...

Рассмотрим вариант решения задания из учебника Виленкин, Жохов, Чесноков 6 класс, Просвещение:
Выполните действия:
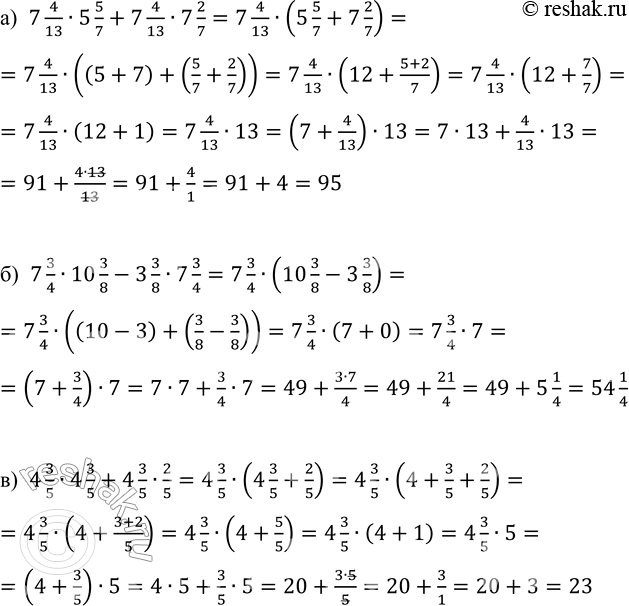
а) 7 4/13 · 5 5/7 + 7 4/13 · 7 2/7; б) 7 3/4 · 10 3/8 - 3 3/8 · 7 3/4;
в) 4 3/5 · 4 3/5 + 4 3/5 · 2/5.
Используем распределительное свойство умножения относительно сложения и вычитания – выносим общий множитель за скобки.
При сложении (вычитании) дробей с одинаковыми знаменателями, их числители складывают, а знаменатель оставляют тот же.
Для того, чтобы умножить смешанное число на натуральное число, можно умножить целую часть на натуральное число; умножить дробную часть на это натуральное число; затем сложить полученные результаты.
Для того, чтобы умножить обыкновенную дробь на натуральное число, необходимо её числитель умножить на это число, а знаменатель оставить без изменений.
Прежде, чем выполнить умножение, выполняем сокращение дробей (если это возможно), то есть делим числитель и знаменатель на одно и то же число (наибольший общий делитель).
Дробь, у которой в знаменателе стоит единица, равна числителю.
а) 7 4/13•5 5/7+7 4/13•7 2/7=7 4/13•(5 5/7+7 2/7)=7 4/13•((5+7)+(5/7+2/7))=7 4/13•(12+(5+2)/7)=7 4/13•(12+7/7)=7 4/13•(12+1)=7 4/13•13=(7+4/13)•13=7•13+4/13•13=91+(4•13)/13=91+4/1=91+4=95
б) 7 3/4•10 3/8-3 3/8•7 3/4=7 3/4•(10 3/8-3 3/8)=7 3/4•((10-3)+(3/8-3/8))=7 3/4•(7+0)=7 3/4•7=(7+3/4)•7=7•7+3/4•7=49+(3•7)/4=49+21/4=49+5 1/4=54 1/4
в) 4 3/5•4 3/5+4 3/5•2/5=4 3/5•(4 3/5+2/5)=4 3/5•(4+3/5+2/5)=4 3/5•(4+(3+2)/5)=4 3/5•(4+5/5)=4 3/5•(4+1)=4 3/5•5=(4+3/5)•5=4•5+3/5•5=20+(3•5)/5=20+3/1=20+3=23

Найдите корень уравнения:
1) 178,87 - (b - 13,4) = 174,77; 2) 243,82 - (17,1 - с) = 231,32.
1) Уравнение 178,87-(b-13,4)=174,77 сначала решаем относительно первого минуса, то есть неизвестно вычитаемое b-13,4.
Для того, чтобы найти неизвестное вычитаемое, необходимо из уменьшаемого вычесть разность, получим
b-13,4=178,87-174,77 или, выполнив вычитание справа,
b-13,4=4,1
В полученном уравнении неизвестно уменьшаемое b.
Для того, чтобы найти неизвестное уменьшаемое, необходимо к разности прибавить вычитаемое, получим
b=4,1+13,4 или, выполнив сложение,
b=17,5
2) Уравнение 243,82-(17,1-c)=231,32 сначала решаем относительно первого минуса, то есть неизвестно вычитаемое 17,1-c.
Для того, чтобы найти неизвестное вычитаемое, необходимо из уменьшаемого вычесть разность, получим
17,1-c=243,82-231,32 или, выполнив вычитание справа,
17,1-c=12,5
В полученном уравнении неизвестно вычитаемое c.
c=17,1-12,5 или, выполнив вычитание,
c=4,6

*Цитирирование задания со ссылкой на учебник производится исключительно в учебных целях для лучшего понимания разбора решения задания.
*К сожалению, временные проблемы с публикацией комментариев с мобильных устройств.