Упр.154 ГДЗ Мерзляк Полонский 8 класс (Алгебра)
Решение #1 (Учебник 2025)
Решение #2 (Учебник 2025)
Решение #3 (Учебник 2019)
Решение #4 (Учебник 2019)

Рассмотрим вариант решения задания из учебника Мерзляк, Полонская, Якир 8 класс, Просвещение:
Упростите выражение:
1) 3a4b3/10c5 * 4b4c2/27a7 : 5b7/9a3c3;
2) 3a2/2b2c2 : 7c8/6b3 : 9ab/14c12;
3) (5a3/b4)4 * b18/50a16;
4) (3x7/y10)4 : (3x6/y8)3.
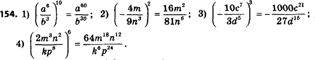
Представьте в виде дроби выражение:
1) (a6/b3)10;
2) (-4m/9n3)2;
3) (-10c7/3d5)3;
4) (2m3n2/kp8)6.
Похожие решебники
Популярные решебники 8 класс Все решебники
*К сожалению, временные проблемы с публикацией комментариев с мобильных устройств.