Упр.158 ГДЗ Мерзляк 8 класс (Алгебра)
Решение #1
Решение #2
Решение #3

Рассмотрим вариант решения задания из учебника Мерзляк, Полонская, Якир 8 класс, Вентана-Граф:
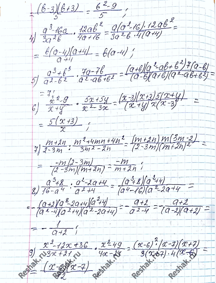
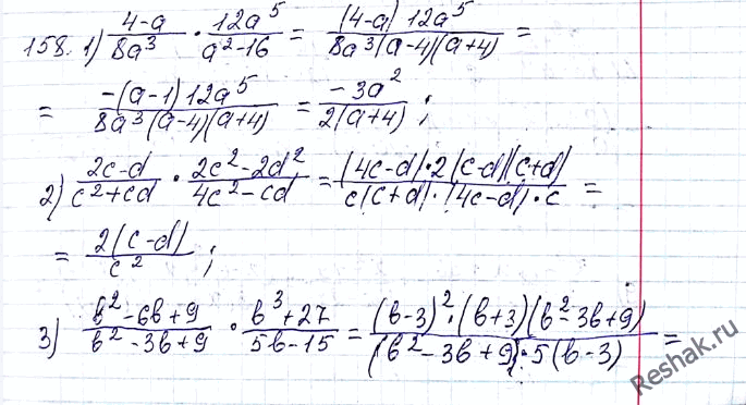
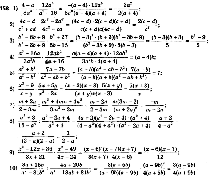
158. Выполните умножение и деление дробей:
1) (4-a)/8a3 * 12a5/(a2-16);
2) (4c-d)/(c2+cd) * (2c2-2d2)/(4c2-cd);
Похожие решебники
Популярные решебники 8 класс Все решебники
*размещая тексты в комментариях ниже, вы автоматически соглашаетесь с пользовательским соглашением