Упр.150 ГДЗ Мерзляк 8 класс (Алгебра)
Решение #1
Решение #2
Решение #3

Рассмотрим вариант решения задания из учебника Мерзляк, Полонская, Якир 8 класс, Вентана-Граф:
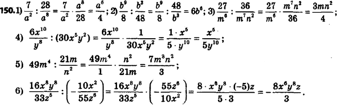
150. Найдите частное:
1) 7/a2 : 28/a8;
2) b9/8 : b3/48;
3) 27/m6 : 36/m7n2;
4) 6x10/y8 : (30x5y2);
5) 49m4 : 21m/n2;
6) 16x3y8/33z5 : (-10x2/55z6).
Похожие решебники
Популярные решебники 8 класс Все решебники
*размещая тексты в комментариях ниже, вы автоматически соглашаетесь с пользовательским соглашением