Упр.159 ГДЗ Мерзляк Полонский 8 класс (Алгебра)
Решение #1 (Учебник 2025)
Решение #2 (Учебник 2025)
Решение #3 (Учебник 2019)
Решение #4 (Учебник 2019)

Рассмотрим вариант решения задания из учебника Мерзляк, Полонская, Якир 8 класс, Просвещение:
Найдите значение выражения:
1) 1/(a2-ab) : b/(b2-a2), если a = 2 1/3, b = -3/7;
2) (a2+4ab+4b2)/(a2-9b2) : (3a+6b)/(2a-6b), если a = 4, b = -5.
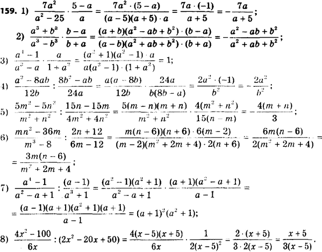
Упростите выражение:
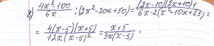
1) 7a2/(a2-25) * (5-a)/a;
2) (a3+b3)/(a3-b3) * (b-a)/(b+a);
Похожие решебники
Популярные решебники 8 класс Все решебники
*К сожалению, временные проблемы с публикацией комментариев с мобильных устройств.