Упр.149 ГДЗ Мерзляк 8 класс (Алгебра)
Решение #1
Решение #2
Решение #3

Рассмотрим вариант решения задания из учебника Мерзляк, Полонская, Якир 8 класс, Вентана-Граф:
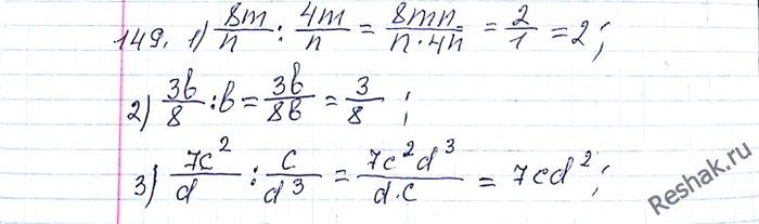
149. Выполните деление:
1) 8m/n : 4m/n;
2) 3b/8 : b;
3) 7c2/d : c/d3;
4) 6a/5b : 3a2/20b2;
5) -9a/b5 : 18a4/b3;
6) a2 : a/b2c;
7) 24a3 : 12a2/b;
8) 36a/c3 : (4a2c).
Похожие решебники
Популярные решебники 8 класс Все решебники
*размещая тексты в комментариях ниже, вы автоматически соглашаетесь с пользовательским соглашением