Упр.160 ГДЗ Мерзляк 8 класс (Алгебра)
Решение #1
Решение #2
Решение #3

Рассмотрим вариант решения задания из учебника Мерзляк, Полонская, Якир 8 класс, Вентана-Граф:
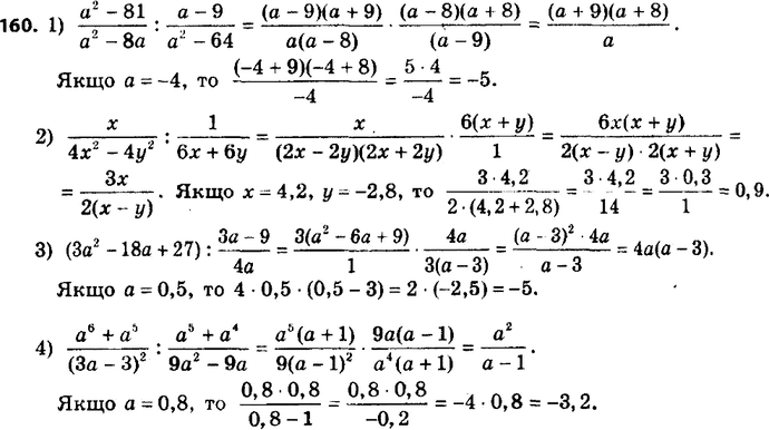
160. Упростите выражение и найдите его значение:
1) (a2-81)/(a2-8a) : (a-9)/(a2-64), если a = -4;
2) x/(4x2-4y2) : 1/(6x+6y), если x = 4,2, y = -2,8.
Похожие решебники
Популярные решебники 8 класс Все решебники
*размещая тексты в комментариях ниже, вы автоматически соглашаетесь с пользовательским соглашением