Упр.151 ГДЗ Мерзляк Полонский 8 класс (Алгебра)
Решение #1 (Учебник 2025)
Решение #2 (Учебник 2025)
Решение #3 (Учебник 2019)
Решение #4 (Учебник 2019)

Рассмотрим вариант решения задания из учебника Мерзляк, Полонская, Якир 8 класс, Просвещение:
Выполните возведение в степень:
1) (a/b)9;
2) (m/n2)8;
3) (c/2d)5;
4) (5a6/b5)2;
5) (-3m4/2n3)3;
6) (-6a6/b7)2.
Упростите выражение:
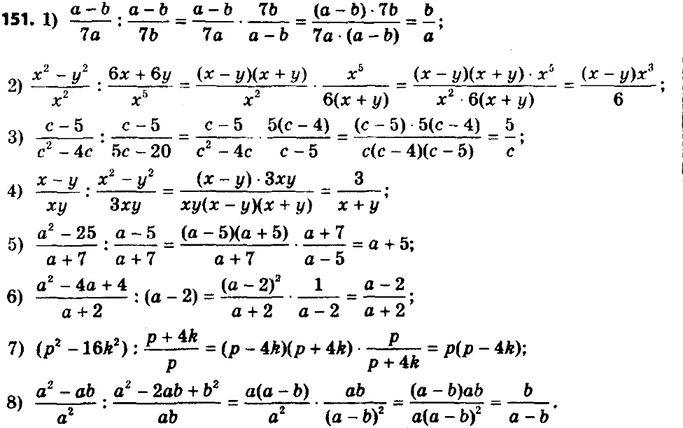
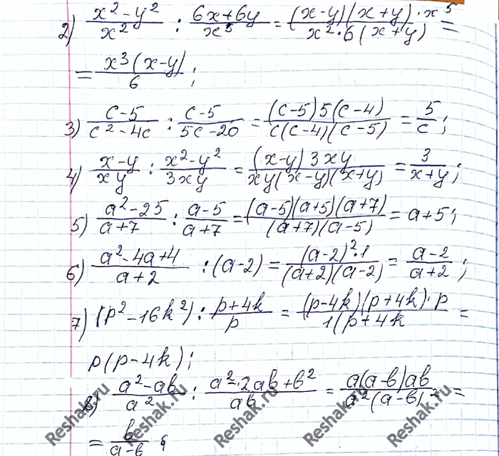
1) (a-b)/7a : (a-b)/7b;
2) (x2-y2)/x2 : (6x+6y)/x5;
Похожие решебники
Популярные решебники 8 класс Все решебники
*К сожалению, временные проблемы с публикацией комментариев с мобильных устройств.