Упр.157 ГДЗ Мерзляк Полонский 8 класс (Алгебра)
Решение #1 (Учебник 2025)
Решение #2 (Учебник 2025)
Решение #3 (Учебник 2019)
Решение #4 (Учебник 2019)

Рассмотрим вариант решения задания из учебника Мерзляк, Полонская, Якир 8 класс, Просвещение:
Упростите выражение:
1) 7a2/(a2-25) * (5-a)/a;
2) (a3+b3)/(a3-b3) * (b-a)/(b+a);
Замените переменную х таким выражением, чтобы получилось тождество:
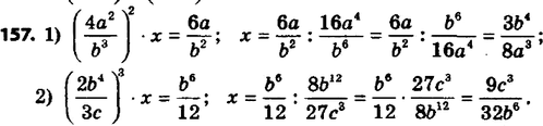
1) (4a2/b3) * x = 6a/b2;
2) (2b4/3c)3 : x = b6/12.
Похожие решебники
Популярные решебники 8 класс Все решебники
*К сожалению, временные проблемы с публикацией комментариев с мобильных устройств.