Упр.134 ГДЗ Мерзляк 9 класс (Алгебра)
Решение #1 (Учебник 2024)
Решение #2 (Учебник 2021)
Решение #3 (Учебник 2021)

Рассмотрим вариант решения задания из учебника Мерзляк, Полонская, Якир 9 класс, Просвещение:
Решите уравнение:
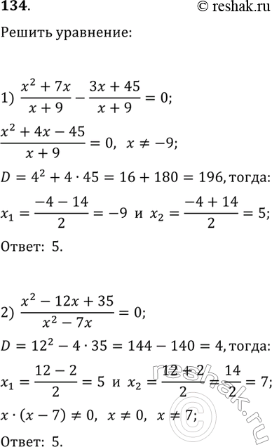
1) (x^2+7x)/(x+9)-(3x+45)/(x+9)=0;
2) (x^2-12x+35)/(x^2-7x)=0.
Решите неравенство:
1) 3 - 5(2x + 4) >= 7 - 2x;
2) 6x - 3(x - 1) <= 2 + 5x;
3) x - 2(x - 1) >= 10 + 3(x + 4);
4) 2(2x - 3,5) - 3(2 - 3x) < 6(1 - x);
5) (x + 1 )(x - 2) <= (x - 3)(x + 3);
6) (4x - З)^2 + (3x + 2)^2 >= (5x + 1)^2;
7) (2х - 1)/4 >= (Зх - 5)/5;
8) (3x + 7)/4 - (5x - 2)/2 < x;
9) (x - 5)(x + 1) <= 3 + (x - 2)^2;
10) (x + 1)/2 - (х - 3)/3 > 2 + x/6;
11) (6x - 1)^2 - 4x(9x - 3) <= 1;
12) (х - 3)/9 - (x + 4)/4 > (x - 8)/6.
Похожие решебники
Популярные решебники 9 класс Все решебники
*К сожалению, временные проблемы с публикацией комментариев с мобильных устройств.