Упр.137 ГДЗ Мерзляк 9 класс (Алгебра)
Решение #1 (Учебник 2024)
Решение #2 (Учебник 2021)
Решение #3 (Учебник 2021)

Рассмотрим вариант решения задания из учебника Мерзляк, Полонская, Якир 9 класс, Просвещение:
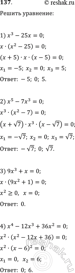
Решите уравнение:
1) x^3-25x=0; 3) 9x^3+x=0;
2) x^5-7x^3=0; 4) x^4-12x^3+36x^2=0.
Найдите наименьшее целое решение неравенства:
1) (4х + 13)/10 - (5 + 2x)/4 > (6 - 7х)/20 - 2 ;
2) (х - 1)(x + 1) - (х - 4)(х + 2) >= 0.
Похожие решебники
Популярные решебники 9 класс Все решебники
*К сожалению, временные проблемы с публикацией комментариев с мобильных устройств.