Упр.130 ГДЗ Мерзляк 9 класс (Алгебра)
Решение #1 (Учебник 2024)
Решение #2 (Учебник 2021)
Решение #3 (Учебник 2021)

Рассмотрим вариант решения задания из учебника Мерзляк, Полонская, Якир 9 класс, Просвещение:
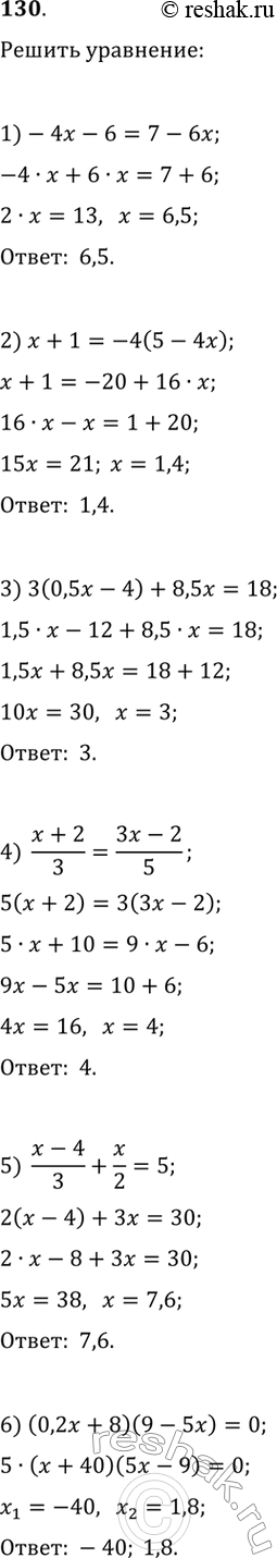
Решите уравнение:
1) -4x-6=7-6x; 4) (x+2)/3=(3x-2)/5;
2) x+1=-4(5-4x); 5) (x-4)/3+x/2=5;
3) 3(0,5x-4)+8,5x=18; 6) (0,2x+8)(9-5x)=0.
При каких значениях с значения двучлена 9с - 2 не больше чем соответствующие значения двучлена 4с + 4?
Похожие решебники
Популярные решебники 9 класс Все решебники
*К сожалению, временные проблемы с публикацией комментариев с мобильных устройств.