Упр.129 ГДЗ Мерзляк 9 класс (Алгебра)
Решение #1 (Учебник 2024)
Решение #2 (Учебник 2021)
Решение #3 (Учебник 2021)

Рассмотрим вариант решения задания из учебника Мерзляк, Полонская, Якир 9 класс, Просвещение:
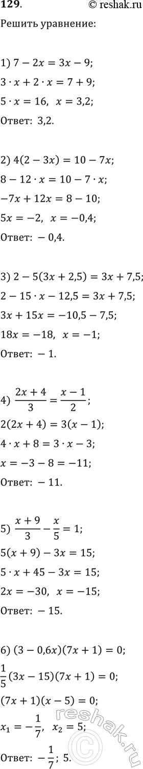
Решите уравнение:
1) 7-2x=3x-9; 4) (2x+4)/3=(x-1)/2;
2) 4(2-3x)=10-7x; 5) (x+9)/3-x/5=1;
3) 2-5(3x+2,5)=3x+7,5; 6) (3-0,6x)(7x+1)=0.
Решите неравенство:
1) 4 + 11x > 7 + 12x;
2) 35x - 28 <= 32x + 2;
3) 3x - 10 < 6x + 2;
4) 6x - 3 >= 2x - 25.
Похожие решебники
Популярные решебники 9 класс Все решебники
*К сожалению, временные проблемы с публикацией комментариев с мобильных устройств.