Упр.131 ГДЗ Мерзляк 9 класс (Алгебра)
Решение #1 (Учебник 2024)
Решение #2 (Учебник 2021)

Рассмотрим вариант решения задания из учебника Мерзляк, Полонская, Якир 9 класс, Просвещение:
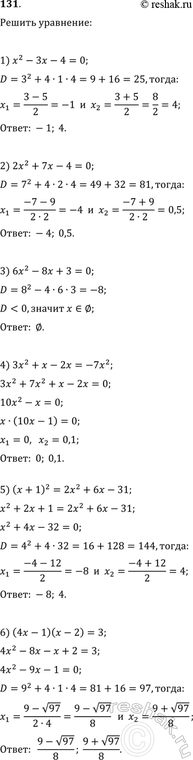
Решите уравнение:
1) x^2-3x-4=0; 4) 3x^2+x-2x=-7x^2;
2) 2x^2+7x-4=0; 5) (x+1)^2=2x^2+6x-31;
3) 6x^2-8x+3=0; 6) (4x-1)(x-2)=3.
При каких значениях k значения двучлена 11k - 3 не меньше чем соответствующие значения двучлена 15k - 13?
Похожие решебники
Популярные решебники 9 класс Все решебники
*размещая тексты в комментариях ниже, вы автоматически соглашаетесь с пользовательским соглашением