Упр.138 ГДЗ Мерзляк 9 класс (Алгебра)
Решение #1 (Учебник 2024)
Решение #2 (Учебник 2021)

Рассмотрим вариант решения задания из учебника Мерзляк, Полонская, Якир 9 класс, Просвещение:
Решите уравнение:
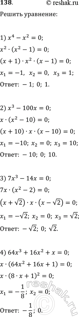
1) x^4-x^2=0; 3) 7x^3-14x=0;
2) x^3-100x=0; 4) 64x^3+16x^2+x=0.
Сколько целых отрицательных решений имеет неравенство
x - (х + 7)/4 - (11х + 30)/12 < (х - 5)/3?
Похожие решебники
Популярные решебники 9 класс Все решебники
*К сожалению, временные проблемы с публикацией комментариев с мобильных устройств.