Упр.135 ГДЗ Мерзляк 9 класс (Алгебра)
Решение #1 (Учебник 2024)
Решение #2 (Учебник 2021)
Решение #3 (Учебник 2021)

Рассмотрим вариант решения задания из учебника Мерзляк, Полонская, Якир 9 класс, Просвещение:
Решите уравнение:
1) x^4-5x^2+4=0; 3) x^4-8x^2-9=0; 5) 4x^4-9x^2+2=0;
2) x^4-5x^2+6=0; 4) x^4+14x^2-32=0; 6) 3x^4+8x^2-3=0.
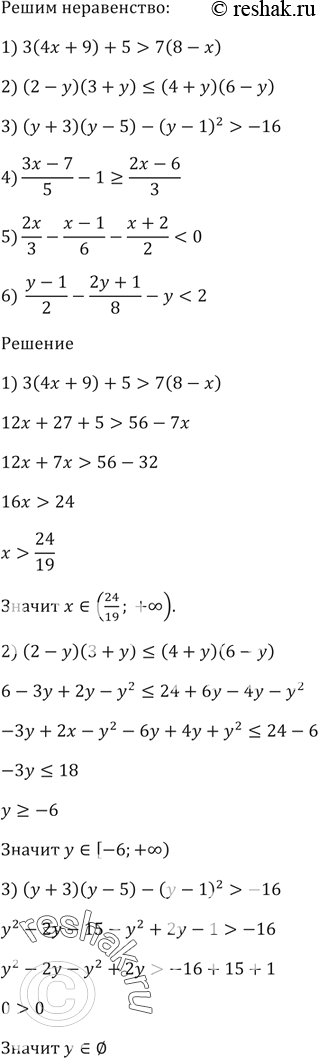
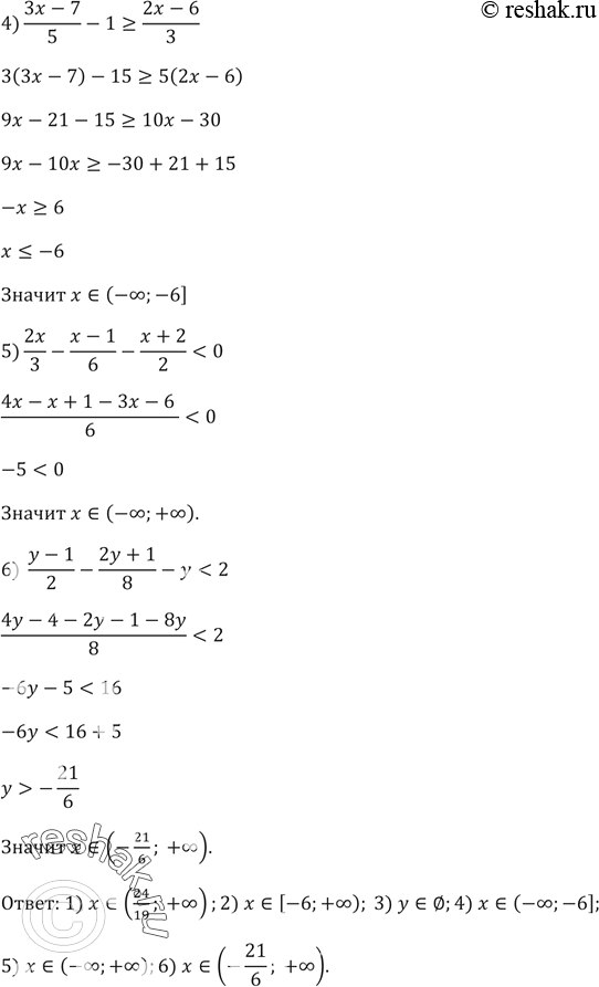
Найдите множество решений неравенства:
1) 3(4x + 9) + 5 > 7(8 - x);
2) (2 - y)(3 + y) <= (4 + y)(6 - у);
3) (у + 3)(у - 5) - (y - 1)^2 > -16;
4) (Зх - 7)/5 - 1 >= (2х - 6)/3;
5) 2х/3 - (х - 1)/6 - (x + 2)/2 < 0;
6) (y - 1)/2 - (2y + 1)/8 - y < 2.
Похожие решебники
Популярные решебники 9 класс Все решебники
*К сожалению, временные проблемы с публикацией комментариев с мобильных устройств.