Упр.12.15 ГДЗ Мерзляк 10 класс Углубленный уровень (Алгебра)
Решение #1

Рассмотрим вариант решения задания из учебника Мерзляк, Номировский, Поляков 10 класс, Просвещение:
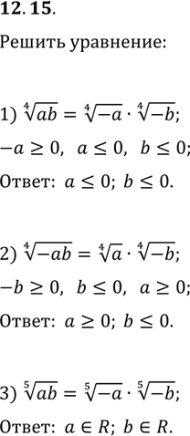
12.15 При каких значениях а и b выполняется равенство:
1) (ab)^(1/4)=(-a)^(1/4)·(-b)^(1/4);
2) (-ab)^(1/4)=a^(1/4)·(-b)^(1/4);
3) (ab)^(1/5)=(-a)^(1/5)·(-b)^(1/5)?
Похожие решебники
Популярные решебники 10 класс Все решебники
*размещая тексты в комментариях ниже, вы автоматически соглашаетесь с пользовательским соглашением