Упр.12.12 ГДЗ Мерзляк 10 класс Углубленный уровень (Алгебра)
Решение #1

Рассмотрим вариант решения задания из учебника Мерзляк, Номировский, Поляков 10 класс, Просвещение:
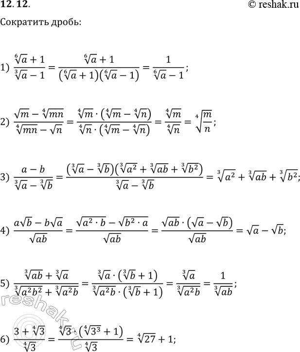
12.12. Сократите дробь:
1) (a^(1/6)+1)/(a^(1/3)-1);
2) (vm-(mn)^(1/4))/((mn)^(1/4)-vn);
3) (a-b)/(a^(1/3)-b^(1/3));
4) (avb-bva)/v(ab);
5) ((ab)^(1/3)+a^(1/3))/((a^2 b^2)^(1/3)+(a^2 b)^(1/3));
6) (3+3^(1/4))/3^(1/4).
Похожие решебники
Популярные решебники 10 класс Все решебники
*размещая тексты в комментариях ниже, вы автоматически соглашаетесь с пользовательским соглашением