Упр.12.11 ГДЗ Мерзляк 10 класс Углубленный уровень (Алгебра)
Решение #1

Рассмотрим вариант решения задания из учебника Мерзляк, Номировский, Поляков 10 класс, Просвещение:
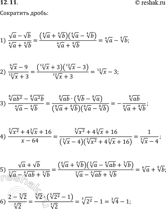
12.11. Сократите дробь:
1) (va-vb)/(a^(1/4)+b^(1/4));
2) (x^(1/6)-9)/(x^(1/12)+3);
3) ((ab^2)^(1/8)-(a^2 b)^(1/8))/(a^(1/4)-b^(1/4));
4) ((x^2)^(1/3)+4(x^(1/3))+16)/(x-64);
5) (va+vb)/(a^(1/3)-(ab)^(1/6)+b^(1/3);
6) (2-2^(1/3))/2^(1/3).
Похожие решебники
Популярные решебники 10 класс Все решебники
*размещая тексты в комментариях ниже, вы автоматически соглашаетесь с пользовательским соглашением