Упр.12.13 ГДЗ Мерзляк 10 класс Углубленный уровень (Алгебра)
Решение #1

Рассмотрим вариант решения задания из учебника Мерзляк, Номировский, Поляков 10 класс, Просвещение:
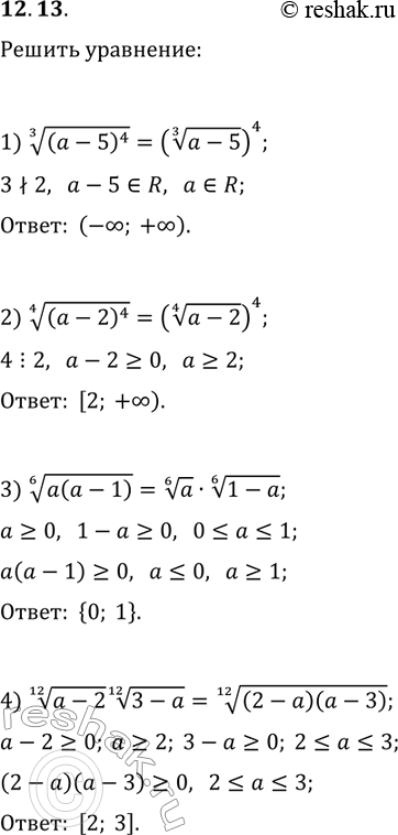
12.13. При каких значениях а выполняется равенство:
1) ((a-5)^4)^(1/3)=((a-5)^(1/3))^4; 3) (a(a-1))^(1/6)=a^(1/6) (1-a)^(1/6);
2) ((a-2)^4)^(1/4)=((a-2)^(1/4))^4; 4) (a-2)^(1/12) (3-a)^(1/12)=((2-a)(a-3))^(1/12)?
Похожие решебники
Популярные решебники 10 класс Все решебники
*размещая тексты в комментариях ниже, вы автоматически соглашаетесь с пользовательским соглашением