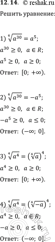
Упр.12.14 ГДЗ Мерзляк 10 класс Углубленный уровень (Алгебра)
Решение #1

Рассмотрим вариант решения задания из учебника Мерзляк, Номировский, Поляков 10 класс, Просвещение:
12.14. При каких значениях а выполняется равенство:
1) (a^30)^(1/6)=a^5; 3) (a^4)^(1/4)=(a^(1/4))^4;
2) (a^30)^(1/6)=-a^5; 4) (a^4)^(1/4)=(-a^(1/4))^4?
Похожие решебники
Популярные решебники 10 класс Все решебники
*размещая тексты в комментариях ниже, вы автоматически соглашаетесь с пользовательским соглашением