Упр.46.15 ГДЗ Мордкович 10-11 класс (Алгебра)
Решение #1
Решение #2

Рассмотрим вариант решения задания из учебника Мордкович, Семенов 11 класс, Мнемозина:
46.15
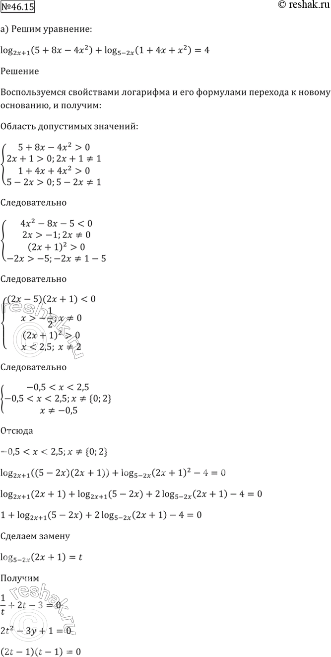
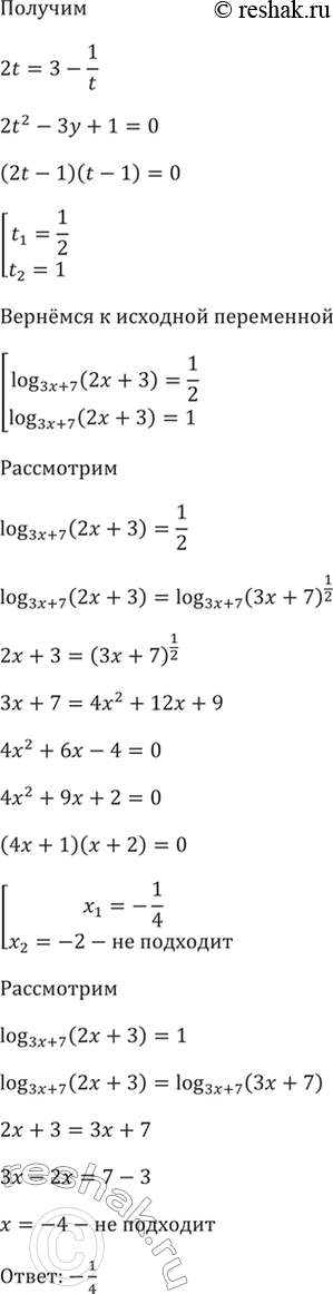
a) log(2x + 1) (5 + 8x - 4x^2) + log(5 - 2x) (1 + 4x + 4x^2) = 4;
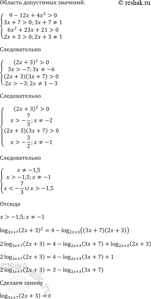
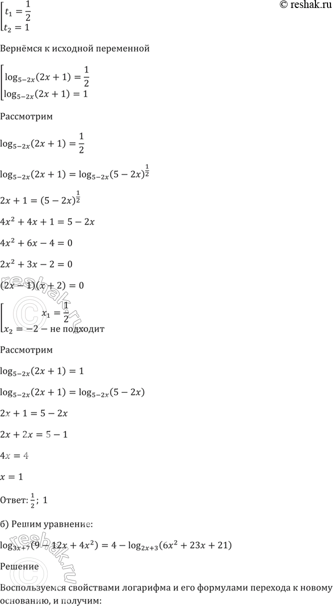
6) log(3x + 7) (9 + 12x + 4x^2) = 4 - log(2x + 3) (6x^2 + 23x + 21).
Похожие решебники
Популярные решебники 11 класс Все решебники
*размещая тексты в комментариях ниже, вы автоматически соглашаетесь с пользовательским соглашением