Упр.844 ГДЗ Мерзляк 8 класс (Алгебра)
Решение #1
Решение #2
Решение #3

Рассмотрим вариант решения задания из учебника Мерзляк, Полонская, Якир 8 класс, Вентана-Граф:
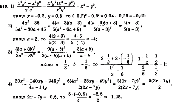
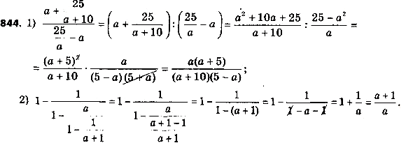
844. Найдите значение выражения:
1) (x5y7-x3y9)/x3y7, если x = -0,2, y = 0,5;
2) (4а2-36)/(5a2-30a+45), если а = 2;
Похожие решебники
Популярные решебники 8 класс Все решебники
*К сожалению, временные проблемы с публикацией комментариев с мобильных устройств.