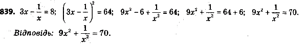
Упр.839 ГДЗ Мерзляк 8 класс (Алгебра)
Решение #1
Решение #2
Решение #3

Рассмотрим вариант решения задания из учебника Мерзляк, Полонская, Якир 8 класс, Вентана-Граф:
839. Найдите значение выражения:
1) (3m-n)/(m+2n), если m = -4 , n = 3;
2) (a2-2a)/(4a+2), если а = -0,8.
Похожие решебники
Популярные решебники 8 класс Все решебники
*размещая тексты в комментариях ниже, вы автоматически соглашаетесь с пользовательским соглашением