Упр.849 ГДЗ Мерзляк 8 класс (Алгебра)
Решение #1
Решение #2
Решение #3

Рассмотрим вариант решения задания из учебника Мерзляк, Полонская, Якир 8 класс, Вентана-Граф:
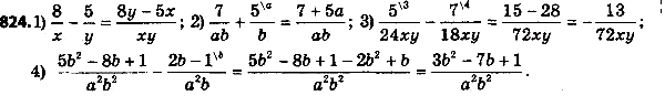
849. Выполните действия:
1) 8/x - 5/y;
2) 7/ab + 5/b;
3) 5/24xy - 7/18xy;
4) (5b2-8b+1)/a2b2 - (2b-1)/a2b.
Похожие решебники
Популярные решебники 8 класс Все решебники
*К сожалению, временные проблемы с публикацией комментариев с мобильных устройств.