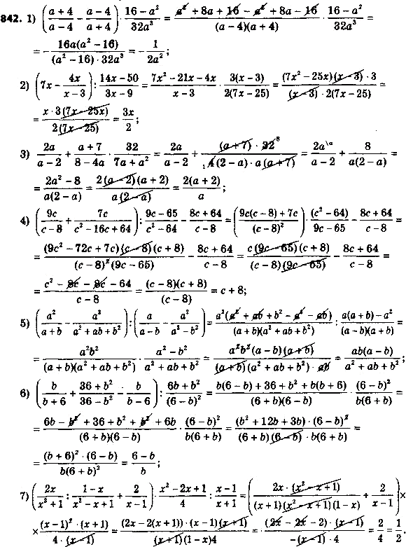
Упр.842 ГДЗ Мерзляк Полонский 8 класс (Алгебра)
Решение #1 (Учебник 2025)
Решение #2 (Учебник 2019)

Рассмотрим вариант решения задания из учебника Мерзляк, Полонская, Якир 8 класс, Просвещение:
Знаменатель обыкновенной дроби на 3 больше её числителя. Если числитель этой дроби увеличить на 4, а знаменатель — на 8. то полученная дробь будет на 1/6 больше исходной. Найдите исходную дробь.
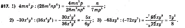
Представьте частное в виде дроби и сократите полученную дробь:
1) 4mn2р : (28m2np6);
2) -30x5y3 : (36x4y8);
3) -63xy2 : (-72ху7).
Похожие решебники
Популярные решебники 8 класс Все решебники
*К сожалению, временные проблемы с публикацией комментариев с мобильных устройств.