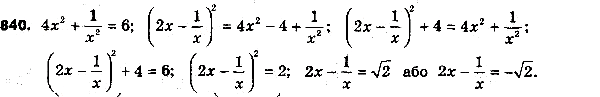
Упр.840 ГДЗ Мерзляк 8 класс (Алгебра)
Решение #1
Решение #2
Решение #3

Рассмотрим вариант решения задания из учебника Мерзляк, Полонская, Якир 8 класс, Вентана-Граф:
840. При каких значениях переменной имеет смысл выражение:
1) 7b-11;
2) 9/x;
3) 5/(2-y);
4) (m-3)/7;
5) (3+t)/(4-t);
Похожие решебники
Популярные решебники 8 класс Все решебники
*размещая тексты в комментариях ниже, вы автоматически соглашаетесь с пользовательским соглашением