Упр.8.17 ГДЗ Мерзляк 10 класс Углубленный уровень (Алгебра)
Решение #1

Рассмотрим вариант решения задания из учебника Мерзляк, Номировский, Поляков 10 класс, Просвещение:
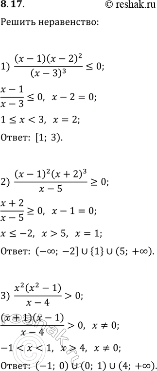
8.17. Решите перавенство:
1) (x-1)(x-2)^2/(x-3)^3?0;
2) (x-1)^2 (x+2)^3/(x-5)?0;
3) x^2 (x^2-1)/(x-4) > 0.
Похожие решебники
Популярные решебники 10 класс Все решебники
*размещая тексты в комментариях ниже, вы автоматически соглашаетесь с пользовательским соглашением