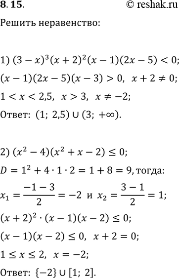
Упр.8.15 ГДЗ Мерзляк 10 класс Углубленный уровень (Алгебра)
Решение #1

Рассмотрим вариант решения задания из учебника Мерзляк, Номировский, Поляков 10 класс, Просвещение:
8.15. Решите неравенство:
1) (3-x)^3 (x+2)^2 (x-1)(2x-5) < 0;
2) (x^2-4)(x^2+x-2)?0.
Похожие решебники
Популярные решебники 10 класс Все решебники
*размещая тексты в комментариях ниже, вы автоматически соглашаетесь с пользовательским соглашением