Упр.8.14 ГДЗ Мерзляк 10 класс Углубленный уровень (Алгебра)
Решение #1

Рассмотрим вариант решения задания из учебника Мерзляк, Номировский, Поляков 10 класс, Просвещение:
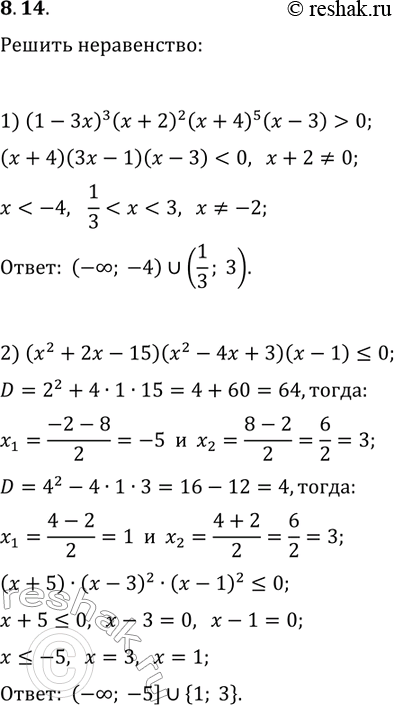
8.14. Решите неравенство:
1) (1-3x)^3 (x+2)^2 (x+4)^5 (x-3) > 0;
2) (x^2+2x-15)(x^2-4x+3)(x-1)?0.
Похожие решебники
Популярные решебники 10 класс Все решебники
*размещая тексты в комментариях ниже, вы автоматически соглашаетесь с пользовательским соглашением