Упр.8.16 ГДЗ Мерзляк 10 класс Углубленный уровень (Алгебра)
Решение #1

Рассмотрим вариант решения задания из учебника Мерзляк, Номировский, Поляков 10 класс, Просвещение:
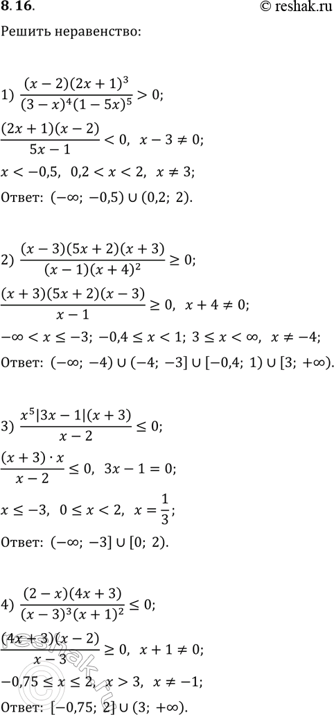
8.16. Найдите множество решений неравенства:
1) (x-2)(2x+1)^3/((3-x)^4 (1-5x)^5) > 0; 3) x^5 |3x-1|(x+3)/(x-2)?0;
2) (x-3)(5x+2)(x+3)/((x-1)(x+4)^2)?0; 4) (2-x)(4x+3)/((x-3)^3 (x+1)^2)?0.
Похожие решебники
Популярные решебники 10 класс Все решебники
*размещая тексты в комментариях ниже, вы автоматически соглашаетесь с пользовательским соглашением