Упр.8.19 ГДЗ Мерзляк 10 класс Углубленный уровень (Алгебра)
Решение #1

Рассмотрим вариант решения задания из учебника Мерзляк, Номировский, Поляков 10 класс, Просвещение:
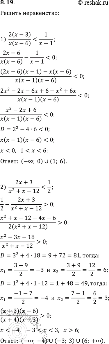
8.19. Решите неравенство:
1) 2(x-3)/(x(x-6)) < 1/(x-1);
2) (2x+3)/(x^2+x-12) < 1/2.
Похожие решебники
Популярные решебники 10 класс Все решебники
*размещая тексты в комментариях ниже, вы автоматически соглашаетесь с пользовательским соглашением