Упр.8.13 ГДЗ Мерзляк 10 класс Углубленный уровень (Алгебра)
Решение #1

Рассмотрим вариант решения задания из учебника Мерзляк, Номировский, Поляков 10 класс, Просвещение:
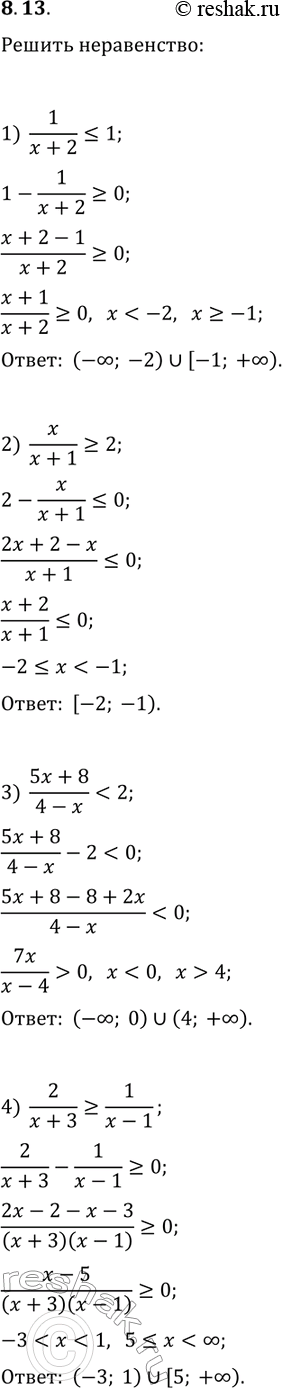
8.13. Решите неравенство:
1) 1/(x+2)?1; 3) (5x+8)/(4-x) < 2;
2) x/(x+1)?2; 4) 2/(x+3)?1/(x-1).
Похожие решебники
Популярные решебники 10 класс Все решебники
*размещая тексты в комментариях ниже, вы автоматически соглашаетесь с пользовательским соглашением