Упр.753 ГДЗ Мерзляк Полонский 8 класс (Алгебра)
Решение #1 (Учебник 2025)
Решение #2 (Учебник 2025)
Решение #3 (Учебник 2019)
Решение #4 (Учебник 2019)

Рассмотрим вариант решения задания из учебника Мерзляк, Полонская, Якир 8 класс, Просвещение:
Число 7 является корнем уравнения х2 + рх - 42 = 0. Найдите значение р и второй корень уравнения.
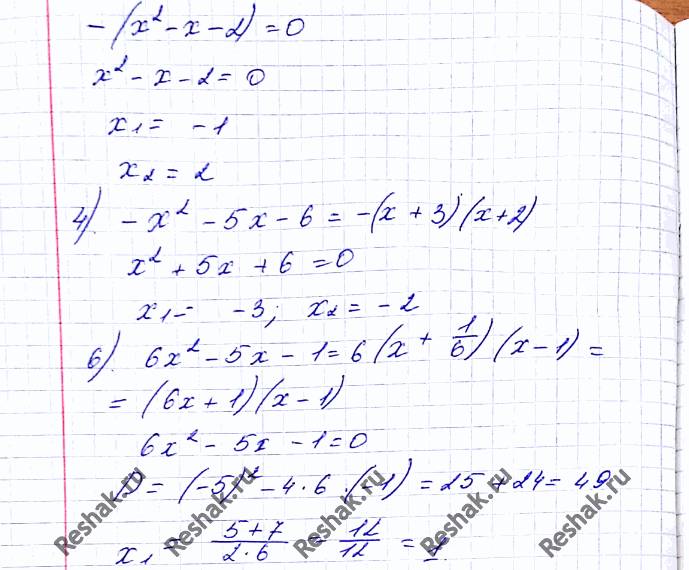
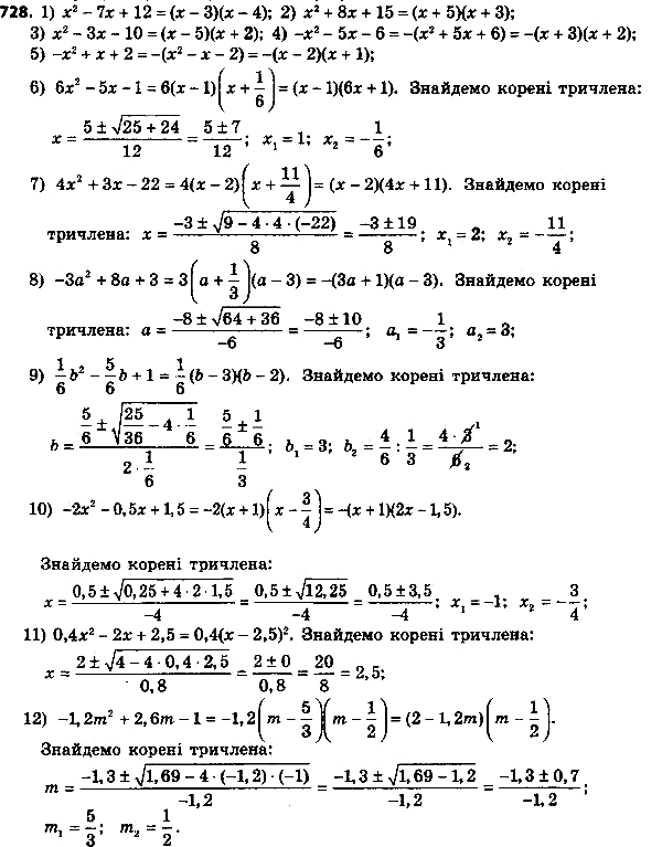
Разложите на линейные множители квадратный трёхчлен:
1) x2 - 7x + 12;
2) x2 + 8x + 15;
3) x2 - Зx - 10;
4) -x2 - 5x - 6;
5) -x2 + x + 2;
6) 6x2 - bх - 1;
7) 4x2 + Зx - 22;
8) -3а2 + 8а + 3;
9) 1/6 b2 - 5/6b + 1;
10) -2x2 - 0,5x + 1,5;
11) 0,4x2 - 2х + 2,5;
12) -1,2m2 + 2,6m - 1.
Похожие решебники
Популярные решебники 8 класс Все решебники
*К сожалению, временные проблемы с публикацией комментариев с мобильных устройств.