Упр.755 ГДЗ Мерзляк Полонский 8 класс (Алгебра)
Решение #1 (Учебник 2025)
Решение #2 (Учебник 2025)
Решение #3 (Учебник 2019)
Решение #4 (Учебник 2019)

Рассмотрим вариант решения задания из учебника Мерзляк, Полонская, Якир 8 класс, Просвещение:
Число -0,2 является корнем уравнения 4x2 - 5,6x + m = 0. Найдите значение m и второй корень уравнения.
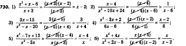
Сократите дробь:
1) (x2 + x - 6)/(x + 3);
2) (x - 4)/(x2 - 10x + 24);
Похожие решебники
Популярные решебники 8 класс Все решебники
*К сожалению, временные проблемы с публикацией комментариев с мобильных устройств.