Упр.749 ГДЗ Мерзляк Полонский 8 класс (Алгебра)
Решение #1 (Учебник 2025)
Решение #2 (Учебник 2025)
Решение #3 (Учебник 2019)
Решение #4 (Учебник 2019)

Рассмотрим вариант решения задания из учебника Мерзляк, Полонская, Якир 8 класс, Просвещение:
Найдите коэффициенты b и c уравнения х2 + bх + с = 0, если его корнями являются числа:
1) -2 и 0,5;
2) -10 и -20.
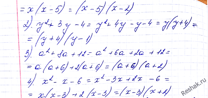
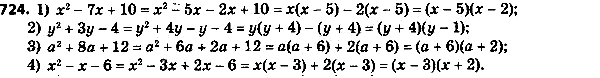
Пользуясь методом группировки, разложите на множители многочлен:
1) х2 - 7х + 10;
2) у2 + 3у - 4;
3) а2 + 8a + 12;
4) x2 - x - 6.
Похожие решебники
Популярные решебники 8 класс Все решебники
*К сожалению, временные проблемы с публикацией комментариев с мобильных устройств.