Упр.756 ГДЗ Мерзляк 8 класс (Алгебра)
Решение #1
Решение #2
Решение #3

Рассмотрим вариант решения задания из учебника Мерзляк, Полонская, Якир 8 класс, Вентана-Граф:
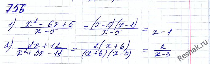
756. Сократите дробь:
1) (x2-6x+5)/(x-5);
2) (2x+12)/(x2+3x-18);
3) (x2+9x+14)/(x2+7x).
Похожие решебники
Популярные решебники 8 класс Все решебники
*К сожалению, временные проблемы с публикацией комментариев с мобильных устройств.