Упр.725 ГДЗ Мерзляк Полонский 8 класс (Алгебра)
Решение #1 (Учебник 2025)
Решение #2 (Учебник 2025)
Решение #3 (Учебник 2019)
Решение #4 (Учебник 2019)

Рассмотрим вариант решения задания из учебника Мерзляк, Полонская, Якир 8 класс, Просвещение:
При каком значении b имеет единственный корень уравнение:
1) 2x2 + 4х - b = 0;
2) Зx2 - bх + 12 = 0?
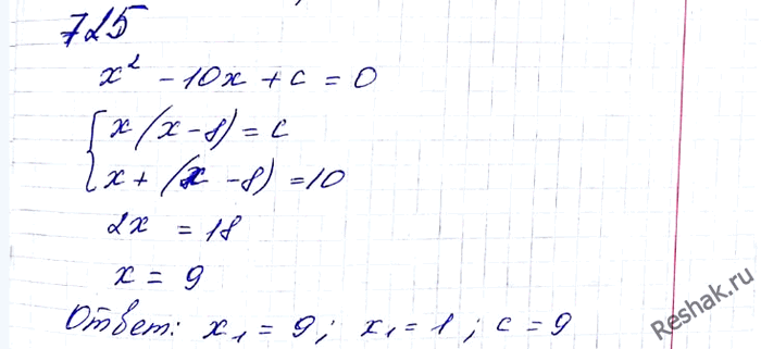
Один из корней уравнения х2 - 10x + с = 0 на 8 меньше другого. Найдите значение с и корни уравнения.
Похожие решебники
Популярные решебники 8 класс Все решебники
*К сожалению, временные проблемы с публикацией комментариев с мобильных устройств.