Упр.728 ГДЗ Мерзляк 8 класс (Алгебра)
Решение #1
Решение #2
Решение #3

Рассмотрим вариант решения задания из учебника Мерзляк, Полонская, Якир 8 класс, Вентана-Граф:
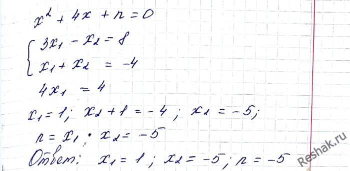
728. Корни x1 и x2 уравнения x2 + 4x + n = 0 удовлетворяют условию 3x1 - x2 = 8. Найдите корни уравнения и значение n.
Похожие решебники
Популярные решебники 8 класс Все решебники
*размещая тексты в комментариях ниже, вы автоматически соглашаетесь с пользовательским соглашением