Упр.731 ГДЗ Мерзляк 8 класс (Алгебра)
Решение #1
Решение #2
Решение #3

Рассмотрим вариант решения задания из учебника Мерзляк, Полонская, Якир 8 класс, Вентана-Граф:
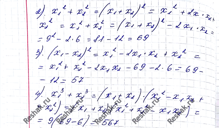
731. Известно, что x1 и x2 — корни уравнения х2 - 9x + 6 = 0. Не решая уравнение, найдите значение выражения:
1) 1/x1 + 1/x2;
2) x1^2 + x2^2;
3) ((x1 - x2)2;
4) х1^3 + x2^3.
Похожие решебники
Популярные решебники 8 класс Все решебники
*К сожалению, временные проблемы с публикацией комментариев с мобильных устройств.