Упр.719 ГДЗ Мерзляк 8 класс (Алгебра)
Решение #1
Решение #2
Решение #3

Рассмотрим вариант решения задания из учебника Мерзляк, Полонская, Якир 8 класс, Вентана-Граф:
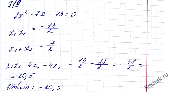
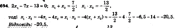
719. Известно, что x1 и х2 — корни уравнения 2x2 - 7х - 13 = 0. Не решая уравнение, найдите значение выражения х1х2 - 4x1 - 4x2.
Похожие решебники
Популярные решебники 8 класс Все решебники
*К сожалению, временные проблемы с публикацией комментариев с мобильных устройств.