Упр.720 ГДЗ Мерзляк Полонский 8 класс (Алгебра)
Решение #1 (Учебник 2025)
Решение #2 (Учебник 2025)
Решение #3 (Учебник 2019)
Решение #4 (Учебник 2019)

Рассмотрим вариант решения задания из учебника Мерзляк, Полонская, Якир 8 класс, Просвещение:
Найдите четыре последовательных чётных натуральных числа, если сумма первого и третьего чисел в 5 раз меньше, чем произведение второго и четвёртого чисел.
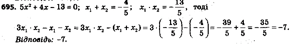
Известно, что x1 и х2 — корни уравнения 5x2 + 4x - 13 = 0. Не решая уравнение, найдите значение выражения 3x1x2 - x1 - x2.
Похожие решебники
Популярные решебники 8 класс Все решебники
*К сожалению, временные проблемы с публикацией комментариев с мобильных устройств.