Упр.6.141 ГДЗ Дорофеев Суворова 7 класс (Алгебра)
Решение #1

Рассмотрим вариант решения задания из учебника Дорофеев, Суворова, Бунимович 7 класс, Просвещение:
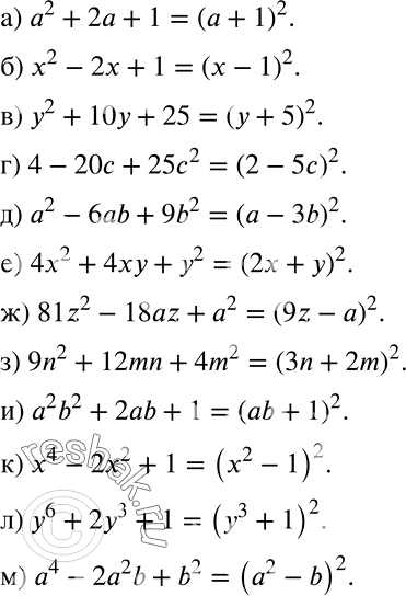
Представьте трёхчлен в виде квадрата двучлена:
а) а2 + 2а + 1;
б) х2 - 2х + 1;
в) у2 + 10у + 25;
г) 4 - 20с + 25с2;
д) а2 - 6ab + 9b2;
е) 4x2 + 4ху + у2;
ж) 81z2 - 18az + а2;
з) 9n2 + 12mn + 4m2;
и) a2b2 + 2ab + 1;
к) x4 - 2x2 + 1;
л) y6 + 2y3 + 1;
м) a4 - 2a2b + b2.
Популярные решебники 7 класс Все решебники
*размещая тексты в комментариях ниже, вы автоматически соглашаетесь с пользовательским соглашением